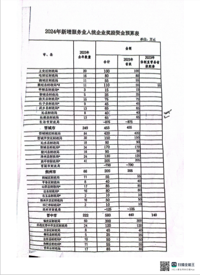
山西省财政厅关于下达2024年新入统服务业企业(单位)奖励资金预算的通知
发布时间:2025-07-09
61

微信图片_20250709162408.png微信图片_20250709162416.png微信图片_20250709162425.png微信图片_20250709162432.png

晋ICP备2025062760号

首页
项目申报
咨询热线