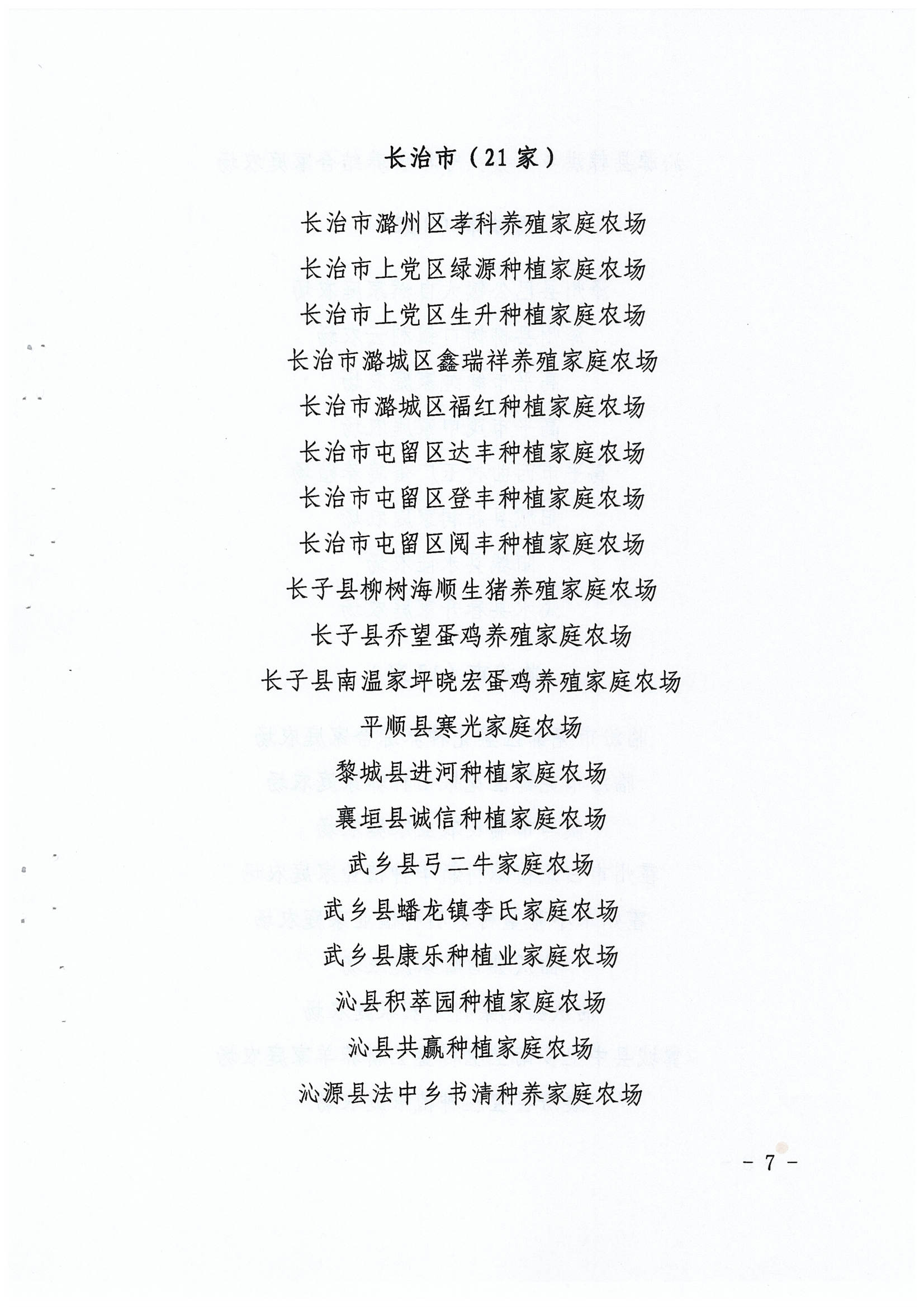
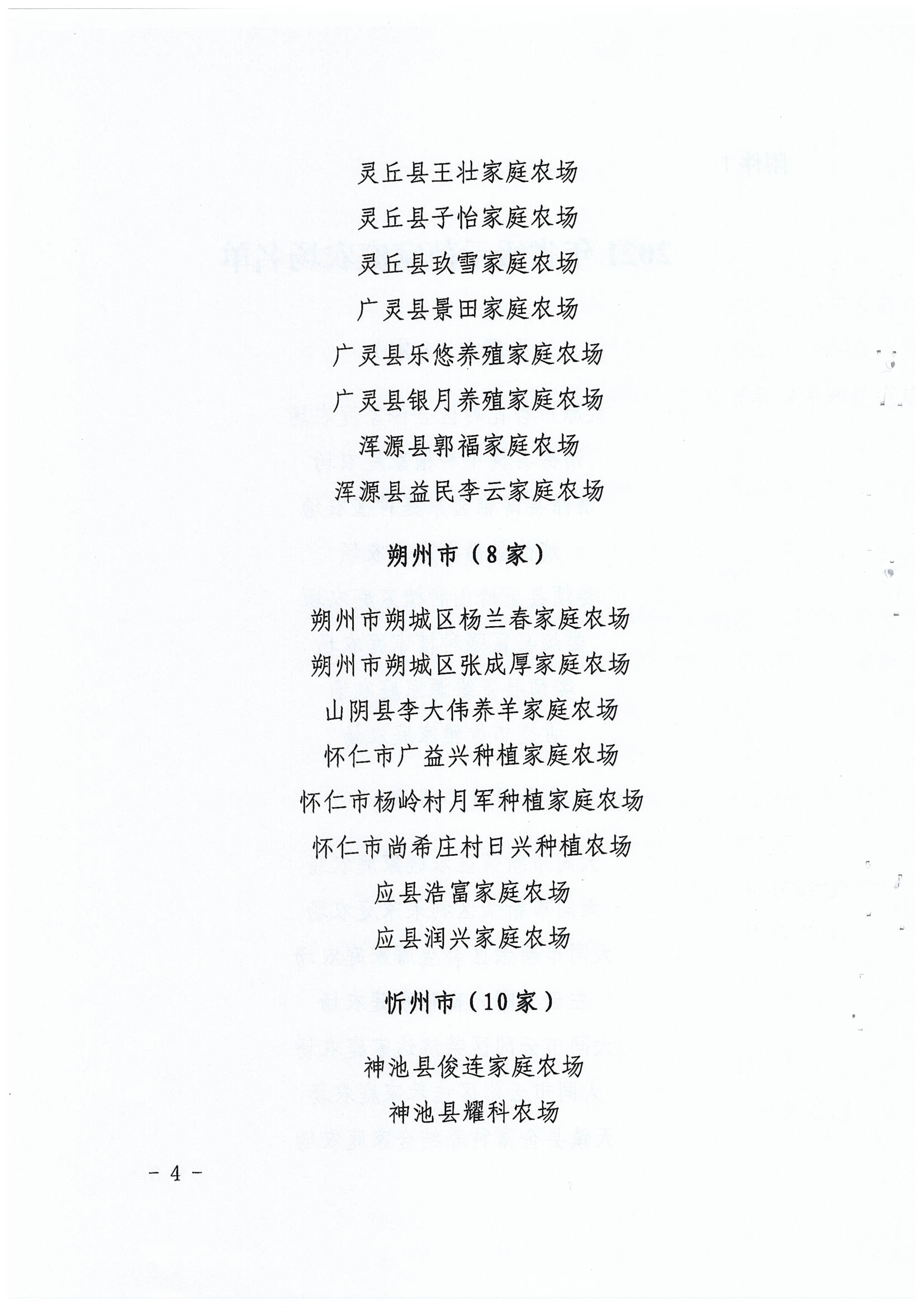
《山西省农业农村厅办公室 关于公布2021年省级示范家庭农场和家庭农场示范县名单的通知》(晋农办政改发〔2021〕262号)
发布时间:2025-07-07
50


晋ICP备2025062760号

首页
项目申报
咨询热线